尊敬的用户,您好!

网站不支持您所使用的浏览器版本(可能会出现网页变形等问题)。为了更好地展示页面效果,请您使用以下浏览器(点击图标会跳转到相关浏览器的官方网站下载页面)。

您的位置: 首页 >四川印象>四川高考题>2000年以后试题>理科数学>详细内容
2024-12-23 11:08:33

2014年四川省高考数学试卷(理科)(含解析版)

来源:四川省地方志工作办公室 发布时间:2019-05-16 10:16:08 浏览次数:3111 【字体:


2014年四川省高考数学试卷(理科)

一、选择题:本大题共10小题,每小题5分,共50分.在每小题给处的四个选项中,只有一项是符合题目要求的.

1.(5分)已知集合A={x|x2﹣x﹣20},集合B为整数集,则AB=(  )

A.{﹣1,0,1,2}B.{﹣2,﹣1,0,1} 

C.{0,1} D.{﹣1,0} 

2.(5分)在x(1+x)6的展开式中,含x3项的系数为(  )

A.30B.20 C.15 D.10 

3.(5分)为了得到函数y=sin(2x+1)的图象,只需把y=sin2x的图象上所有的点(  )

A.向左平行移动个单位长度B.向右平行移动6dbe3007ae42486eb9a04fed2e4d9e45.Png个单位长度 

C.向左平行移动1个单位长度D.向右平行移动1个单位长度 

4.(5分)若ab0,cd0,则一定有(  )

A.>B.c6c5f944a6fc447d81ca3899a66f73df.Png0e72d3a159474806acd5f36302c256ca.Png C.75eb03460b76400d92237689c02bdaed.Png2506961918c84dc3b461b84468735f8a.Png D.197b3fd7e48541b1aacfe4955ff5a1f2.Pngcf811875109c4a42a7154dd550148703.Png 

5.(5分)执行如图所示的程序框图,若输入的x,yR,那么输出的S的最大值为(  )

de47ab19a800472ab6ff6ca25b8d208f.Png

A.0B.1 C.2 D.3 

6.(5分)六个人从左至右排成一行,最左端只能排甲或乙,最右端不能排甲,则不同的排法共有(  )

A.192种B.216种 C.240种 D.288种 

7.(5分)平面向量f978dd37dd9a444d9c91f7f89ed22186.Png=(1,2),f1708044b40d46368e023eb694c1b0c5.Png=(4,2),d3db2a89e28f44c49b8f0589072c18d7.Png=mbbc4f7bc357e424fb518f60afafa9029.Png+3f6d019017f340f4be5d831fb32b7a61.Png(mR),且d1547f96aabf4d54a6f52036a69b2d35.Png463bfda7b1bb4b4a85997b0a67b5c102.Png的夹角等于2f5b26cccb004dc0b3471a070666572b.Pngb96dad3064f9480c8e0a8959f297bba1.Png的夹角,则m=(  )

A.﹣2B.﹣1 C.1 D.2 

8.(5分)如图,在正方体ABCD﹣A1B1C1D1中,点O为线段BD的中点,设点P在线段CC1上,直线OP与平面A1BD所成的角为α,则sinα的取值范围是(  )

ab69a4c5060843d2874c9f3c9b098017.Png

A.[,1]B.[8f108c32f79c4a67951da7e4eba0402d.Png,1] C.[7c173a6a57ea47e1b5751402f916e967.Png047508e97e6b426c9974fe1f30ab83f8.Png] D.[a0f9d92f16da42ff923e1f2df21f0520.Png,1] 

9.(5分)已知f(x)=ln(1+x)﹣ln(1﹣x),x(﹣1,1).现有下列命题:

f(﹣x)=﹣f(x);

f(02a2e52ad6dc471881c79b2758e42673.Png)=2f(x)

③|f(x)|≥2|x|

其中的所有正确命题的序号是(  )

A.①②③B.②③ C.①③ D.①② 

10.(5分)已知F为抛物线y2=x的焦点,点A,B在该抛物线上且位于x轴的两侧,07f8d77ef52b4901888fbd17b31b2a20.Png3e0a00b0254942598823dcaacf3d8964.Png=2(其中O为坐标原点),则ABO与AFO面积之和的最小值是(  )

A.2B.3 C.760c0ad75ef04adc840e89fe59945e1f.Png D.701342aa003f4d5281dfae08b7669aaa.Png 

二、填空题:本大题共5小题,每小题5分,共25分

11.(5分)复数2d6a819c2cc64061ac98e493e639048c.Png=     

12.(5分)设f(x)是定义在R上的周期为2的函数,当x[﹣1,1)时,f(x)=7c16b8b71bf647f7aa1eec80e33b3330.Png,则f(d55dde2c83144cc09fa7adccb5a8f666.Png)=     

13.(5分)如图,从气球A上测得正前方的河流的两岸B,C的俯角分别为67°,30°,此时气球的高是46m,则河流的宽度BC约等于     m.(用四舍五入法将结果精确到个位.参考数据:sin67°0.92,cos67°0.39,sin37°0.60,cos37°0.80,92d9e76c4fc6424aa758a88e80266e4d.Png1.73)

d5acc4c122764df3914348f684f94d71.Png

14.(5分)设mR,过定点A的动直线x+my=0和过定点B的动直线mx﹣y﹣m+3=0交于点P(x,y).则|PA||PB|的最大值是     

15.(5分)以A表示值域为R的函数组成的集合,B表示具有如下性质的函数φ(x)组成的集合:对于函数φ(x),存在一个正数M,使得函数φ(x)的值域包含于区间[﹣M,M].例如,当φ1(x)=x3,φ2(x)=sinx时,φ1(x)A,φ2(x)B.现有如下命题:

设函数f(x)的定义域为D,则“f(x)A”的充要条件是“bR,aD,f(a)=b”;

函数f(x)B的充要条件是f(x)有最大值和最小值;

若函数f(x),g(x)的定义域相同,且f(x)A,g(x)B,则f(x)+g(x)B.

若函数f(x)=aln(x+2)+4c56209590c54b088ef168bd2d0e5fe5.Png(x﹣2,aR)有最大值,则f(x)B.

其中的真命题有     .(写出所有真命题的序号)

三、解答题:本大题共6小题,共75分.解答应写出文字说明、证明过程或演算步骤.

16.(12分)已知函数f(x)=sin(3x+14e47732e8a24b3b9ef080779a48ba9a.Png).

(1)求f(x)的单调递增区间;

(2)若α是第二象限角,f(792cf32f67514097af1e054274bbd945.Png)=336d4ad84a0447a484b379a3fb380fab.Pngcos(α+7b8412b58ec340af8e7d00467cbbe3af.Png)cos2α,求cosα﹣sinα的值.

 

 

 

17.(12分)一款击鼓小游戏的规则如下:每盘游戏都需要击鼓三次,每次击鼓要么出现一次音乐,要么不出现音乐:每盘游戏击鼓三次后,出现一次音乐获得10分,出现两次音乐获得20分,出现三次音乐获得100分,没有出现音乐则扣除200分(即获得﹣200分).设每次击鼓出现音乐的概率为f72302c0fb754530a35b49994de545b6.Png,且各次击鼓出现音乐相互独立.

(1)设每盘游戏获得的分数为X,求X的分布列;

(2)玩三盘游戏,至少有一盘出现音乐的概率是多少?

(3)玩过这款游戏的许多人都发现.若干盘游戏后,与最初分数相比,分数没有增加反而减少了.请运用概率统计的相关知识分析分数减少的原因.

 

 

 

 

 

18.(12分)三棱锥A﹣BCD及其侧视图、俯视图如图所示,设M,N分别为线段AD,AB的中点,P为线段BC上的点,且MNNP.

(1)证明:P是线段BC的中点;

(2)求二面角A﹣NP﹣M的余弦值.

c5e1faf58aaf4872950d8036996ad6fc.Png

 

 

 

 

 

 

19.(12分)设等差数列{an}的公差为d,点(an,bn)在函数f(x)=2x的图象上(nN*).

(1)若a1=﹣2,点(a8,4b7)在函数f(x)的图象上,求数列{an}的前n项和Sn

(2)若a1=1,函数f(x)的图象在点(a2,b2)处的切线在x轴上的截距为2﹣da400bf280984541a1290d668b2884ee.Png,求数列{e4831216145947ceba295da601c01546.Png}的前n项和Tn

 

 

 

 

20.(13分)已知椭圆C:ce288d0fb075423388ffe9f8c4f36563.Png+95bfb7e544734ac6b5059ea58a19a9f4.Png=1(ab0)的焦距为4,其短轴的两个端点与长轴的一个端点构成正三角形.

(1)求椭圆C的标准方程;

(2)设F为椭圆C的左焦点,T为直线x=﹣3上任意一点,过F作TF的垂线交椭圆C于点P,Q.

证明:OT平分线段PQ(其中O为坐标原点);

7ef3feee40a94e30b5c7ea918c6b325e.Png最小时,求点T的坐标.

 

 

 

 

 

 

 

 

 

 

21.(14分)已知函数f(x)=ex﹣ax2﹣bx﹣1,其中a,bR,e=2.71828…为自然对数的底数.

(1)设g(x)是函数f(x)的导函数,求函数g(x)在区间[0,1]上的最小值;

(2)若f(1)=0,函数f(x)在区间(0,1)内有零点,求a的取值范围.

 


 

2014年四川省高考数学试卷(理科)

参考答案与试题解析

 

一、选择题:本大题共10小题,每小题5分,共50分.在每小题给处的四个选项中,只有一项是符合题目要求的.

1.(5分)已知集合A={x|x2﹣x﹣20},集合B为整数集,则AB=(  )

A.{﹣1,0,1,2}B.{﹣2,﹣1,0,1} 

C.{0,1} D.{﹣1,0} 

 

【考点】1E:交集及其运算.菁优网版权所有

【专题】11:计算题.

【分析】计算集合A中x的取值范围,再由交集的概念,计算可得.

【解答】解:A={x|﹣1x2},B=Z,

AB={﹣1,0,1,2}

故选:A.

【点评】本题属于容易题,集合知识是高中部分的基础知识,也是基础工具,高考中涉及到对集合的基本考查题,一般都比较容易,且会在选择题的前几题,考生只要够细心,一般都能拿到分.

 

2.(5分)在x(1+x)6的展开式中,含x3项的系数为(  )

A.30B.20 C.15 D.10 

 

【考点】DA:二项式定理.菁优网版权所有

【专题】5P:二项式定理.

【分析】利用二项展开式的通项公式求出(1+x)6的第r+1项,令x的指数为2求出展开式中x2的系数.然后求解即可.

【解答】解:(1+x)6展开式中通项Tr+1=C6rxr

令r=2可得,T3=C62x2=15x2

(1+x)6展开式中x2项的系数为15,

在x(1+x)6的展开式中,含x3项的系数为:15.

故选:C.

【点评】本题考查二项展开式的通项的简单直接应用.牢记公式是基础,计算准确是关键.

 

3.(5分)为了得到函数y=sin(2x+1)的图象,只需把y=sin2x的图象上所有的点(  )

A.向左平行移动个单位长度B.向右平行移动c474390c61444de8b782c0cd641b4c35.Png个单位长度 

C.向左平行移动1个单位长度D.向右平行移动1个单位长度 

 

【考点】HJ:函数y=Asin(ωx+φ)的图象变换.菁优网版权所有

【专题】57:三角函数的图像与性质.

【分析】根据 y=sin(2x+1)=sin2(x+71b43a8da4af44ffb0974f6637dad7d8.Png),利用函数y=Asin(ωx+φ)的图象变换规律,得出结论.

【解答】解:y=sin(2x+1)=sin2(x+e6bb3eed7eea433c8a460cb08a198436.Png),把y=sin2x的图象上所有的点向左平行移动d2ce6ce276aa4554b42d08dc50307931.Png个单位长度,

即可得到函数y=sin(2x+1)的图象,

故选:A.

【点评】本题主要考查函数y=Asin(ωx+φ)的图象变换规律,属于基础题.

 

4.(5分)若ab0,cd0,则一定有(  )

A.>B.c6eebbd7ace14b4fa8572a9a6af4bebb.Png64dbeb68556d4246888656d89a9932cd.Png C.5d21d6bc15cf448dbed71434bc356a09.Png640809fead4740cfb2e31acf7c87774b.Png D.e236da4976e947b1aaf01d423bdbb837.Png30d8c3cdc6e046c6866172921838f1ea.Png 

 

【考点】R3:不等式的基本性质.菁优网版权所有

【专题】59:不等式的解法及应用.

【分析】利用特例法,判断选项即可.

【解答】解:不妨令a=3,b=1,c=﹣3,d=﹣1,

5e1e6d0c57584c3a860f574f7522c9c9.Png0c292a95a753410e8afae71b56ab02b5.PngA、B不正确;

c2fcbb1f94f14ce0aa08fe402fbd7b43.Pngfd8dd0e8f227419f92e8fccd497bf376.Png=﹣fafef942cd944e38b478df27472377d9.Png

C不正确,D正确.

 

解法二:

cd0,

﹣c﹣d0,

ab0,

﹣ac﹣bd,

f499d72a82ad4b96adf9ed4ac6871a5f.Png966293a230e14f52919e526b91006184.Png

6c72ec5dc8b04993bc9f862d9eeffa89.Png

 

故选:D.

【点评】本题考查不等式比较大小,特值法有效,导数计算正确.

 

5.(5分)执行如图所示的程序框图,若输入的x,yR,那么输出的S的最大值为(  )

3883c7152593438580749b078138d604.Png

A.0B.1 C.2 D.3 

 

【考点】7C:简单线性规划;E9:程序框图的三种基本逻辑结构的应用.菁优网版权所有

【专题】5K:算法和程序框图.

【分析】算法的功能是求可行域f284937757574e0a87567256c737f10d.Png内,目标函数S=2x+y的最大值,画出可行域,求得取得最大值的点的坐标,得出最大值.

【解答】解:由程序框图知:算法的功能是求可行域2d39649662084d35b4684d6f9306862f.Png内,目标还是S=2x+y的最大值,

画出可行域如图:

2d5b49b24022421b9d5aa21e069da302.Png

77e34082de024d5e830edd64d4b949fb.Png时,S=2x+y的值最大,且最大值为2.

故选:C.

【点评】本题借助选择结构的程序框图考查了线性规划问题的解法,根据框图的流程判断算法的功能是解题的关键.

 

6.(5分)六个人从左至右排成一行,最左端只能排甲或乙,最右端不能排甲,则不同的排法共有(  )

A.192种B.216种 C.240种 D.288种 

 

【考点】D9:排列、组合及简单计数问题.菁优网版权所有

【专题】12:应用题;5O:排列组合.

【分析】分类讨论,最左端排甲;最左端只排乙,最右端不能排甲,根据加法原理可得结论.

【解答】解:最左端排甲,共有80c751281f4d4359b3dbe0c87fec2ad3.Png=120种,最左端只排乙,最右端不能排甲,有ce8c49b9f7234ed99996bdcb626f15f0.Png=96种,

根据加法原理可得,共有120+96=216种.

故选:B.

【点评】本题考查排列、组合及简单计数问题,考查学生的计算能力,属于基础题.

 

7.(5分)平面向量bfd4ec678b564e4587f32952a149e0e0.Png=(1,2),18792f9b2bdf4dc891c3d25309d60243.Png=(4,2),7b4f53d6d2db43feb978081d24443dbf.Png=mb08b7f70cba44db99b9aabede236a212.Png+02ce8700cbfc4f5b912d3edbd107ff60.Png(mR),且728ee6dffd7745baab10d2701dd4f138.Pngd5407a71178a4607a381d4ba5137d4c3.Png的夹角等于e95134a6e49b42c084946b1450ba828a.Pngc9ae6241b50144778cc3dde0f440c788.Png的夹角,则m=(  )

A.﹣2B.﹣1 C.1 D.2 

 

【考点】9S:数量积表示两个向量的夹角.菁优网版权所有

【专题】5A:平面向量及应用.

【分析】由已知求出向量7ff09f12f0734379b8defda3bf9aa581.Png的坐标,再根据6e4c4f2976cc446888c0fa92428e7566.Png430e4e815c914ab0b4a6b4fe67a775e3.Png的夹角等于0ac09464588e412d8c59927e00af2cbd.Pngc26acfcdee9d457a98ea632c2e217d93.Png的夹角,代入夹角公式,构造关于m的方程,解方程可得答案.

【解答】解:向量17014a2165af4eefaed7ab3132433573.Png=(1,2),7978ad9fb8dc4d5cae2242e43bf4336a.Png=(4,2),

81e73186bf814ea49ff0b7aa2e5087b3.Png=mbee4834357724ca4bf0714afc7a7f53a.Png+1eced9b2dd9e4bb689c2347b74996edf.Png=(m+4,2m+2),

6db7df2eaf2a4ad5ac31d27a83b3434a.Png30dd39a7cd1a4f55960bbdeb7f033ffe.Png的夹角等于cb367e3cfd134b8abac473e297da047b.Png5626a5891fee4b7cac878a19f212cdfa.Png的夹角,

9dee92adf6cf440fb64a0394bf78fa1b.Png=0bde7f8142ab4bfdb8d1e973ecad1648.Png

5dfec38da1164fde9868d86b67e17e5b.Png=52d94f96bc0d46668cdd6d1438033ed7.Png

83b987b0c5604b85a1ed9a729feb1d72.Png=fbfdeeaba3ab442fa3050ea24577f92c.Png

解得m=2,

故选:D.

【点评】本题考查的知识点是数量积表示两个向量的夹角,难度中档.

 

8.(5分)如图,在正方体ABCD﹣A1B1C1D1中,点O为线段BD的中点,设点P在线段CC1上,直线OP与平面A1BD所成的角为α,则sinα的取值范围是(  )

f81e9c2185dd44cc9f6ba32d5d0ecf72.Png

A.[,1]B.[7e1f3131bfc042b6bb1f2d040cc552bb.Png,1] C.[ef88d911dbe44b53beaab227da9e80d1.Png0c87c253afc74467a8d620dc9a140893.Png] D.[bd1e60afa3d945ceabcc1ace9441e16d.Png,1] 

 

【考点】MI:直线与平面所成的角.菁优网版权所有

【专题】5G:空间角.

【分析】由题意可得:直线OP于平面A1BD所成的角α的取值范围是1676a44255a24b9aaac22460dcd565ce.Png7316baebd37340dba86ad39cd583ece3.Png.再利用正方体的性质和直角三角形的边角关系即可得出.

【解答】解:由题意可得:直线OP于平面A1BD所成的角α的取值范围是7906fdc7d92d47ef8608b077d52acf85.Png76f5fbf484c54653b58f98bd96c3841e.Png

不妨取AB=2.

在RtAOA1中,704d58d8752042aebf8ba6175f607caa.Png=210756a1f8c24747a6ca32f05804d863.Png=341dbcf9ace046f8b037d87a126cbcee.Png

sinC1OA1=sin(π﹣2AOA1)=sin2AOA1=2sinAOA1cosAOA1=bb6c5981ab464df9a7f619b842a0bf3c.Png

c5366b9117a44de0a807c2026b5d42e3.Png=1.

sinα的取值范围是bb57361451f644988252ee6eaea0e7ac.Png

故选:B.

d4823140877f45ca99f9cd86ca30a872.Png

【点评】本题考查了正方体的性质和直角三角形的边角关系、线面角的求法,考查了推理能力,属于中档题.

 

9.(5分)已知f(x)=ln(1+x)﹣ln(1﹣x),x(﹣1,1).现有下列命题:

f(﹣x)=﹣f(x);

f(f00c2b4655254cd3a77ba36be2596280.Png)=2f(x)

③|f(x)|≥2|x|

其中的所有正确命题的序号是(  )

A.①②③B.②③ C.①③ D.①② 

 

【考点】2K:命题的真假判断与应用.菁优网版权所有

【专题】51:函数的性质及应用;5L:简易逻辑.

【分析】根据已知中函数的解析式,结合对数的运算性质,分别判断三个结论的真假,最后综合判断结果,可得答案.

【解答】解:f(x)=ln(1+x)﹣ln(1﹣x),x(﹣1,1),

f(﹣x)=ln(1﹣x)﹣ln(1+x)=﹣f(x),即正确;

f(d1f5a8ba54c740899691c861261f9604.Png)=ln(1+46e1cf3189b74429b9ce5a990b7a67f5.Png)﹣ln(1﹣a52fce5ece6944859af6afda4d845480.Png)=ln(514990a0eafb4e48ae7ffa5178be0281.Png)﹣ln(0cc86a3c03b344f39620356508fdb290.Png)=ln(8e4d80b3181c473481011d57d82beda5.Png)=ln[797e38a8d4424ad5b352fd6da13959c6.Png2]=2ln(bc6bcdbdcc684989878bc63717598461.Png)=2[ln(1+x)﹣ln(1﹣x)]=2f(x),故正确;

当x[0,1)时,|f(x)|≥2|x|f(x)﹣2x0,令g(x)=f(x)﹣2x=ln(1+x)﹣ln(1﹣x)﹣2x(x[0,1))

g′(x)=8090ff2e99714189b16e7f3d52afb97b.Png+00dca312f03e4991a0327d2894ab25ae.Png﹣2=a520970b2d1d4f7182ec6f8803858363.Png0,g(x)在[0,1)单调递增,g(x)=f(x)﹣2xg(0)=0,

又f(x)2x,又f(x)与y=2x为奇函数,所以|f(x)|≥2|x|成立,故正确;

故正确的命题有①②③

故选:A.

【点评】本题以命题的真假判断为载体,考查了对数的运算性质,代入法求函数的解析式等知识点,难度中档.

 

10.(5分)已知F为抛物线y2=x的焦点,点A,B在该抛物线上且位于x轴的两侧,87dfb82b3d5d43f3b4588a8e57a5a4b3.Pngc6f96b040da646068bbec36a5c3811b4.Png=2(其中O为坐标原点),则ABO与AFO面积之和的最小值是(  )

A.2B.3 C.f53e95ae08c44f12805f9b3e248f0ca5.Png D.2606db9a057343c9a5148e93312406fa.Png 

 

【考点】K8:抛物线的性质.菁优网版权所有

【专题】5E:圆锥曲线中的最值与范围问题.

【分析】可先设直线方程和点的坐标,联立直线与抛物线的方程得到一个一元二次方程,再利用韦达定理及7c9dd3dce8df4096a58cd18a70e84d26.Png4d60ea40e94f4b6a95763a4c0e81cbe5.Png=2消元,最后将面积之和表示出来,探求最值问题.

【解答】解:设直线AB的方程为:x=ty+m,点A(x1,y1),B(x2,y2),

直线AB与x轴的交点为M(m,0),

bb04a5ca6660470f9de9339cf4b3d8bc.Pngy2﹣ty﹣m=0,根据韦达定理有y1•y2=﹣m,

22a9842d475a4bad8701a4d87ca0a101.Png954d8d64bdd14aac9347b858b5f71117.Png=2,x1•x2+y1•y2=2,

结合862d6339ea5e4469a1ff754af78fbe56.Png5b4bceabff604860a6408825c1cb38df.Png,得73484fc950374a10b11db17eb82ddf8c.Png

点A,B位于x轴的两侧,y1•y2=﹣2,故m=2.

不妨令点A在x轴上方,则y10,又f13d3cfc25894f2986467c4d7f9355d3.Png

SABO+SAFOd9939cf6160341f8b60154397fdc2ecd.Png×2×(y1﹣y2+3bbfc5d50cdf4b95b028c037499ef75e.Png×b95f76e7b85f4c99bb1cc2cadcb4d404.Pngy1

=9df0f25ad9e04679aa7a15c7cd30df8e.Png

当且仅当09d9ab7e36ff4e9cb5f71114ad28bacf.Png,即5403add5286a475da69009b8c061ac60.Png时,取“=”号,

∴△ABO与AFO面积之和的最小值是3,

故选:B.

1a927f96f9fe4b93ab42d544533a0087.Png

【点评】求解本题时,应考虑以下几个要点:

1、联立直线与抛物线的方程,消x或y后建立一元二次方程,利用韦达定理与已知条件消元,这是处理此类问题的常见模式.

2、求三角形面积时,为使面积的表达式简单,常根据图形的特征选择适当的底与高.

3、利用基本不等式时,应注意“一正,二定,三相等”.

 

二、填空题:本大题共5小题,每小题5分,共25分

11.(5分)复数1c04d56d78a846d185390c99e609b6ba.Png= ﹣2i 

 

【考点】A5:复数的运算.菁优网版权所有

【专题】5N:数系的扩充和复数.

【分析】利用两个复数代数形式的乘除法法则化简所给的复数,可得结果.

【解答】解:复数56239751c128486598f9dfb020c2543c.Png=026db5519203430e836860bd3d3087b8.Png=2025a015a0994000a56380d696d172df.Png=﹣2i,

故答案为:﹣2i.

【点评】本题主要考查两个复数代数形式的乘除法法则的应用,属于基础题.

 

12.(5分)设f(x)是定义在R上的周期为2的函数,当x[﹣1,1)时,f(x)=89bf53544d3d4205bced1741bb655063.Png,则f(9c2e32f3480c4bcaa0b45fae4d6f9400.Png)= 1 

 

【考点】3Q:函数的周期性.菁优网版权所有

【专题】11:计算题.

【分析】由函数的周期性f(x+2)=f(x),将求f(55ba107dd4db4d88b45f7ca818859166.Png)的值转化成求f(5625c0035025483eb638dbf06a1d855b.Png)的值.

【解答】解:f(x)是定义在R上的周期为2的函数,

6a76ebe57cf4429999f4aee5904fa556.Png=1.

故答案为:1.

【点评】本题属于容易题,是考查函数周期性的简单考查,学生在计算时只要计算正确,往往都能把握住,在高考中,属于“送分题”.

 

13.(5分)如图,从气球A上测得正前方的河流的两岸B,C的俯角分别为67°,30°,此时气球的高是46m,则河流的宽度BC约等于 60 m.(用四舍五入法将结果精确到个位.参考数据:sin67°0.92,cos67°0.39,sin37°0.60,cos37°0.80,9d1e0b60ec2f4bfeafada575aca51b68.Png1.73)

7655f8c131c14b5c8a1c57bf2cee3771.Png

 

【考点】HP:正弦定理;HR:余弦定理.菁优网版权所有

【专题】12:应用题;58:解三角形.

【分析】过A点作AD垂直于CB的延长线,垂足为D,分别在RtACD、RtABD中利用三角函数的定义,算出CD、BD的长,从而可得BC,即为河流在B、C两地的宽度.

【解答】解:过A点作AD垂直于CB的延长线,垂足为D,

则RtACD中,C=30°,AD=46m,

AB=b317f1fda89e466797937420ae380bbb.Png,根据正弦定理,75ac06696dc145d782648c424c40b7ad.Png

得BC=c8e9598ffe3d4f42b1a8b92199286b08.Png=56da90bfaec0455f8fbb499bdbba7c2b.Png=60m.

故答案为:60m.

7c737c7b6e8f437887d3099a8a8a1610.Png

【点评】本题给出实际应用问题,求河流在B、C两地的宽度,着重考查了三角函数的定义、正余弦定理解三角形的知识,属于中档题.

 

14.(5分)设mR,过定点A的动直线x+my=0和过定点B的动直线mx﹣y﹣m+3=0交于点P(x,y).则|PA||PB|的最大值是 5 

 

【考点】IT:点到直线的距离公式.菁优网版权所有

【专题】5B:直线与圆.

【分析】先计算出两条动直线经过的定点,即A和B,注意到两条动直线相互垂直的特点,则有PAPB;再利用基本不等式放缩即可得出|PA||PB|的最大值.

【解答】解:由题意可知,动直线x+my=0经过定点A(0,0),

动直线mx﹣y﹣m+3=0即 m(x﹣1)﹣y+3=0,经过点定点B(1,3),

注意到动直线x+my=0和动直线mx﹣y﹣m+3=0始终垂直,P又是两条直线的交点,

则有PAPB,∴|PA|2+|PB|2=|AB|2=10.

|PA||PB|≤e6dd98f7e60344e0a0f4d2b0efd769b8.Png=5(当且仅当4c84cc6202454d9883cb2d7e2f9555a8.Png时取“=”)

故答案为:5

【点评】本题是直线和不等式的综合考查,特别是“两条直线相互垂直”这一特征是本题解答的突破口,从而有|PA|2+|PB|2是个定值,再由基本不等式求解得出.直线位置关系和不等式相结合,不容易想到,是个灵活的好题.

 

15.(5分)以A表示值域为R的函数组成的集合,B表示具有如下性质的函数φ(x)组成的集合:对于函数φ(x),存在一个正数M,使得函数φ(x)的值域包含于区间[﹣M,M].例如,当φ1(x)=x3,φ2(x)=sinx时,φ1(x)A,φ2(x)B.现有如下命题:

设函数f(x)的定义域为D,则“f(x)A”的充要条件是“bR,aD,f(a)=b”;

函数f(x)B的充要条件是f(x)有最大值和最小值;

若函数f(x),g(x)的定义域相同,且f(x)A,g(x)B,则f(x)+g(x)B.

若函数f(x)=aln(x+2)+f7ae244fdf584fbea8b6c7683df6ab83.Png(x﹣2,aR)有最大值,则f(x)B.

其中的真命题有 ①③④ .(写出所有真命题的序号)

 

【考点】29:充分条件、必要条件、充要条件;2H:全称量词和全称命题;2I:存在量词和特称命题;2K:命题的真假判断与应用;34:函数的值域.菁优网版权所有

【专题】23:新定义;3A:极限思想;51:函数的性质及应用;59:不等式的解法及应用;5L:简易逻辑.

【分析】根据题中的新定义,结合函数值域的概念,可判断出命题①②③是否正确,再利用导数研究命题中函数的值域,可得到其真假情况,从而得到本题的结论.

【解答】解:(1)对于命题,若对任意的bR,都aD使得f(a)=b,则f(x)的值域必为R.反之,f(x)的值域为R,则对任意的bR,都aD使得f(a)=b,故是真命题;

  (2)对于命题,若函数f(x)B,即存在一个正数M,使得函数f(x)的值域包含于区间[﹣M,M]

﹣Mf(x)M.例如:函数f(x)满足﹣2f(x)5,则有﹣5f(x)5,此时,f(x)无最大值,无最小值,故是假命题;

  (3)对于命题,若函数f(x),g(x)的定义域相同,且f(x)A,g(x)B,则f(x)值域为R,f(x)(﹣+∞),并且存在一个正数M,使得﹣Mg(x)M.故f(x)+g(x)(﹣+∞).

则f(x)+g(x)B,故是真命题;

  (4)对于命题3b33858d240b4bf88c659de84ddac614.Png1eb3484dcf264b7f8bde5a55b777f555.Png1215f4b89fed4f609d7e940c02f98393.Png

当a0或a0时,aln(x+2)(﹣+∞),f(x)均无最大值,若要使f(x)有最大值,则a=0,此时f(x)=c3e62d97e2074bc5a08fdcefa90f97b1.Png,f(x)B,故是真命题.

故答案为①③④

【点评】本题考查了函数值域的概念、基本不等式、充要条件,还考查了新定义概念的应用和极限思想.本题计算量较大,也有一定的思维难度,属于难题.

 

三、解答题:本大题共6小题,共75分.解答应写出文字说明、证明过程或演算步骤.

16.(12分)已知函数f(x)=sin(3x+83d64ba224b641f184bef3414711f9d4.Png).

(1)求f(x)的单调递增区间;

(2)若α是第二象限角,f(0c59fea6f08f4345bb8371de3b2b19d9.Png)=e96cb65ebf5a40099988dd5701130f87.Pngcos(α+4c0cb2f2375c4683a1e0e44f16a44b17.Png)cos2α,求cosα﹣sinα的值.

 

【考点】GP:两角和与差的三角函数;H5:正弦函数的单调性.菁优网版权所有

【专题】56:三角函数的求值.

【分析】(1)令 2kπ﹣34ee42a4446d4fe5929078e4a6fe9d78.Png3x+f60166e75c974ed2ad897bca96bf4841.Png2kπ+2dd5006f02764ca09e4d0d62b64b5ae6.Png,kz,求得x的范围,可得函数的增区间.

(2)由函数的解析式可得 f(d5c8b20b8cd247a5b730b57f076e77be.Png)=sin(α+49d4091113684ee2851a422451f1fae5.Png),又f(0c494f2354a946b293ff2fed9dfcbb36.Png)=2b7a00e26b944469bc86d8204ce9090a.Pngcos(α+f3437c91d12e4bb4b134b10d124566aa.Png)cos2α,可得sin(α+f30c37ca39fa41b6b7b4da9f9b4ea00a.Png)=970cda6c5d5c4988902f3afe783d605e.Pngcos(α+5feb865b1b684adea20db0e08bc0862e.Png)cos2α,化简可得 (cosα﹣sinα)2=237954407915457eaaa6adc41ca63025.Png.再由α是第二象限角,cosα﹣sinα0,从而求得cosα﹣sinα 的值.

【解答】解:(1)函数f(x)=sin(3x+a23447964b11490c9458dff1fee9ec0e.Png),令 2kπ﹣6a2fd2521176463f9ea60c0693cd0439.Png3x+2ee509406fcd491ba5f1bd17974c55a9.Png2kπ+d050f0b9822143e29298136d5104070a.Png,kZ,

求得 62c3d48f43124eafb53c5c12930eec18.Png0f75be566ed74a22af2887e9593e3436.Pngx6d21bc68f54c47f19939f975f7fe4410.Png+aab5061c170c435b9f88aee312d84ca2.Png,故函数的增区间为[94caca697b104492b17102aa0db49950.Png239c763b551b4c428165bbbdec77413b.Png7cd9751f1a6f4b0b84fd0a052227d1f6.Png+020effe9934747c694bf5cfad7624290.Png],kZ.

(2)由函数的解析式可得 f(bb81bf9d2e01473db301a617854100b6.Png)=sin(α+e8bd045dc8594481bc7a08f341c11efe.Png),又f(20de60625c704bed89ae7025b62018ac.Png)=b018bcda6ed7410ba8a5f15afb4ae1c8.Pngcos(α+1b8004efad674671ac02007674bb04d8.Png)cos2α,

sin(α+3b50a7806b6a41deadc78884585bd8cb.Png)=36f13a291bd44374a1b170f9f360b41f.Pngcos(α+766dc8ec52d447f593c9cba6f86d56b3.Png)cos2α,即sin(α+cb0754ed63ec43c3bde737d397d140ac.Png)=caaa10a312264dc7b6fc7b21b0ef0f8b.Pngcos(α+eacc3e67164e49c8afb26cd5f37308ab.Png)(cos2α﹣sin2α),

sinαcosdda8c61cf63a41aa9016c076578b3bb9.Png+cosαsinac53c53ca1ab4562bed4d65ceba91f81.Png=2e2dd4a0faea4f5ab6e68d8910ee2413.Png(cosαcosf8283d8f5d6c49d2a8544efcf3dc7612.Png﹣sinαsina9ad2804850448aeacb117b848ee713a.Png)(cosα﹣sinα)(cosα+sinα)

即 (sinα+cosα)=3879ef7faa9a424285f20d663663eb67.Png•(cosα﹣sinα)2(cosα+sinα),

α是第二象限角,cosα﹣sinα0,

当sinα+cosα=0时,tanα=﹣1,sinα=ef89be84cd4c426584a2e046a6d61d2c.Png,cosα=﹣8b28bb049bcf42cc94c77f1ffd473a80.Png,此时cosα﹣sinα=﹣6bd592af617442838a1d4c4b564a370c.Png

当sinα+cosα0时,此时cosα﹣sinα=﹣5af23ece6e434de097237e17e6d03100.Png

综上所述:cosα﹣sinα=﹣2610588315de47aba1c565d03f314cca.Png或﹣542cad54c2e7484a9f7bbf13ffd4899d.Png

【点评】本题主要考查正弦函数的单调性,三角函数的恒等变换,体现了分类讨论的数学思想,属于中档题.

 

17.(12分)一款击鼓小游戏的规则如下:每盘游戏都需要击鼓三次,每次击鼓要么出现一次音乐,要么不出现音乐:每盘游戏击鼓三次后,出现一次音乐获得10分,出现两次音乐获得20分,出现三次音乐获得100分,没有出现音乐则扣除200分(即获得﹣200分).设每次击鼓出现音乐的概率为8fbc2e50262b4f9b937fb7a6ea46076b.Png,且各次击鼓出现音乐相互独立.

(1)设每盘游戏获得的分数为X,求X的分布列;

(2)玩三盘游戏,至少有一盘出现音乐的概率是多少?

(3)玩过这款游戏的许多人都发现.若干盘游戏后,与最初分数相比,分数没有增加反而减少了.请运用概率统计的相关知识分析分数减少的原因.

 

【考点】CG:离散型随机变量及其分布列;CH:离散型随机变量的期望与方差.菁优网版权所有

【专题】5I:概率与统计.

【分析】(1)设每盘游戏获得的分数为X,求出对应的概率,即可求X的分布列;

(2)求出有一盘出现音乐的概率,独立重复试验的概率公式即可得到结论.

(3)计算出随机变量的期望,根据统计与概率的知识进行分析即可.

【解答】解:(1)X可能取值有﹣200,10,20,100.

则P(X=﹣200)=c16b90189f2d459591b625b919f4fc89.Png

P(X=10)=5c6990e585f94be1abe74991291fd9c1.Png=2ba9659b44c7420db8dcdb3d398876e6.Png

P(X=20)=fc00616de47e4e58a68576b327786244.Png=d24fe1cf2c404869a226d31d2278740d.Png

P(X=100)=d077a23a475543dcbe26d2e7a04d68e5.Png=7ca2ff5e04824870ad4d321cd49daa9b.Png

故分布列为:

X

﹣200

10

20

100

P

24a6556c9f0e44d790cc5a739e25c12a.Png 

b310982190a14714ad2c0b3222aae825.Png 

cfb8b7d55b5e4c309df456c3ab0e97f8.Png

 b0de7795e962480eb0c3d397ed8cfc8c.Png

由(1)知,每盘游戏出现音乐的概率是p=2891e3d02173432b811b642b8f041479.Png+7880beee78564afe873a006519735638.Png9ca385ec86d8439db160b9fd180c5eb5.Png=7bdb683f690a443399ca22d255cce604.Png

则至少有一盘出现音乐的概率p=1﹣7ea6fd0cee1142e38c470a850b6325ec.Png

由(1)知,每盘游戏获得的分数为X的数学期望是E(X)=(﹣200)×121e7850b6a9403aa2d16ca112d4cdc2.Png+10×2ef361b44d97474c85e748051d2cbaca.Png+20×2134daad3be2417e93d4ffeaaafe6b64.Png79fc854d43a54640ae1f587bfd9563e8.Png×100=﹣0cc2f0eadbb34fd0824a63fab3387bbc.Png=04b3e987cfeb4f73819f3edd5191cdd0.Png

这说明每盘游戏平均得分是负分,由概率统计的相关知识可知:许多人经过若干盘游戏后,入最初的分数相比,分数没有增加反而会减少.

【点评】本题主要考查概率的计算,以及离散型分布列的计算,以及利用期望的计算,考查学生的计算能力.

 

18.(12分)三棱锥A﹣BCD及其侧视图、俯视图如图所示,设M,N分别为线段AD,AB的中点,P为线段BC上的点,且MNNP.

 

(1)证明:P是线段BC的中点;

(2)求二面角A﹣NP﹣M的余弦值.

9b74b8dc7a0e4645bea3817ce59587f0.Png

 

【考点】LS:直线与平面平行;MJ:二面角的平面角及求法.菁优网版权所有

【专题】5H:空间向量及应用.

【分析】(1)用线面垂直的性质和反证法推出结论,

(2)先建空间直角坐标系,再求平面的法向量,即可求出二面角A﹣NP﹣M的余弦值.

【解答】解:(1)由三棱锥A﹣BCD及其侧视图、俯视图可知,在三棱锥A﹣BCD中:

平面ABD平面CBD,AB=AD=BD=CD=CB=2

设O为BD的中点,连接OA,OC

于是OABD,OCBD 所以BD平面OACBDAC

因为M,N分别为线段AD,AB的中点,所以MNBD,MNNP,故BDNP

假设P不是线段BC的中点,则直线NP与直线AC是平面ABC内相交直线

从而BD平面ABC,这与DBC=60°矛盾,所以P为线段BC的中点

(2)以O为坐标原点,OB,OC,OA分别为x,y,z轴建立空间直角坐标系,

则A(0,0,9146fb1a41e142d286b18c0c286ef57a.Png),M(39be18eb0cfb4e28bb13433b5dd31fdf.Png,O,23bc2e28fd3242b6b904d7c6a477296e.Png),N(e5f768edfcfe431fb1a534ab310d5947.Png,0,ad5630e7685c418f93af8788a4ec0756.Png),P(b0f9c54af44b4449821eb120d68dbd1e.Png3ad92c5fe0ab469c9d9f369f00fbc846.Png,0)

于是0509caea863b4f5aa26fb354a16a5466.Png99bb301fd96744fa9ed1e68d27b019b5.Pngcddf0225ee624030b9675d6b64a9c4fe.Png

设平面ANP和平面NPM的法向量分别为7fa53ecd661644eba66dda169b2110b6.Png0261e1d02cab4ffd8ef31bbc84ee6057.Png

aa4ca8c18f7148ae809063163f83d85c.Png,则f001bafb7c184ac68137494efa3bbbee.Png,设z1=1,则28920b3f1fab47d6a3511671c6127aa2.Png

2d3cee25bf2d47499b396aac70a25b61.Png,则440947a4d74e428f8458bdb46bae27fb.Png,设z2=1,则0b07759a849c46ddb37596a95a8f9b87.Png

cosd87482a2721b4ae28f11bae3b4cc9383.Png=9162747dad5841399f622b1add430214.Png=7f08f584fac049089bde2ad504cb1a9b.Png=4e9ec652baaf457cb712248105127a3d.Png

所以二面角A﹣NP﹣M的余弦值e96d411a57464a1081c46d09ef6b1150.Png

【点评】本题考查线线的位置关系,考查二面角知识的应用,解题的关键是掌握用向量的方法求二面角大小的步骤,属于中档题.

 

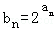
19.(12分)设等差数列{an}的公差为d,点(an,bn)在函数f(x)=2x的图象上(nN*).

(1)若a1=﹣2,点(a8,4b7)在函数f(x)的图象上,求数列{an}的前n项和Sn

(2)若a1=1,函数f(x)的图象在点(a2,b2)处的切线在x轴上的截距为2﹣e51863971fd24c68bfa434a972e41868.Png,求数列{e9621db5bbe44004868e05cafb4a9056.Png}的前n项和Tn

 

【考点】8E:数列的求和;8I:数列与函数的综合.菁优网版权所有

【专题】51:函数的性质及应用;54:等差数列与等比数列.

【分析】(1)由于点(an,bn)在函数f(x)=2x的图象上,可得63a95dfbc5084bb5a0bcc0d599360b1d.Png,又等差数列{an}的公差为d,利用等差数列的通项公式可得c15e1609d62c4547b80c3dd75f02dd8a.Png=2d.由于点

(a8,4b7)在函数f(x)的图象上,可得cb350771c99d4eb7a976bac80f7519c7.Png=b8,进而得到43dfeccfacc0432a93854c308bda048a.Png=4=2d,解得d.再利用等差数列的前n项和公式即可得出.

(2)利用导数的几何意义可得函数f(x)的图象在点(a2,b2)处的切线方程,即可解得a2.进而得到an,bn.再利用“错位相减法”即可得出.

【解答】解:(1)点(an,bn)在函数f(x)=2x的图象上,

3ebb809bc183465dac4cc7ed36c6407b.Png

又等差数列{an}的公差为d,

94c13d0cdb7e4ca084b0b04a47ed7739.Png=f0398913f9b54f748fe1af6ba7f42967.Png=2d

点(a8,4b7)在函数f(x)的图象上,

f8d5f71fed8a4a5088528db7e59cd305.Png=b8

27801951cc394623bf9cf20157a2c70d.Png=4=2d,解得d=2.

又a1=﹣2,Sn=7b8e40461114466e8de4ce3b5c1a4185.Png=﹣2n+d4fa645360154dfb90d019cac9c52f0e.Png=n2﹣3n.

(2)由f(x)=2xf′(x)=2xln2,

函数f(x)的图象在点(a2,b2)处的切线方程为7318d0ce5b2d493dba5adb7859a3a00e.Png

096e3d2a0aa9434cb46d44fb499fe6c5.Png,令y=0可得x=338795c3ee07455b9c29c4daf2dc2d1c.Png

71c9a545e32243948d03cf07ede90b17.Png,解得a2=2.

d=a2﹣a1=2﹣1=1.

an=a1+(n﹣1)d=1+(n﹣1)×1=n,

bn=2n

648b8a222f8047e6a64daaaf99d2631e.Png

Tn=8f7461f07f724698b9b60b614fa443d9.Png++01ac4d585fca4a61b0ce8f7d6f5e3e64.Png+b1bf260d8c274cb59674440e9c09946d.Png

2Tn=1+5c9fd2aaac7641d38ebe782154410261.Png+534135e289a84bbaaf9d3c7836cc1341.Png++cf8efdfe5e994c42852d455fe09cb9d5.Png

两式相减得Tn=1+71e79b4aecfe43b6befaca529e2b3bff.Png++e36b33ada2e045b58b12db1ac313d2f0.Pngceda3d014e1440e9b5db022525ad1809.Png=52f8add1239d47859b91f41673db74ac.Png729fc230cde64c25a5f3b0fb198d0db2.Png

=8604eec7b0674a90bf9f5ad3f47d9691.Png

=cf857a1c401241f59c616274c539f71f.Png

【点评】本题综合考查了指数函数的运算性质、导数的几何意义、等差数列与等比数列的通项公式及其前n项和公式等基础知识与基本技能方法,考查了推理能力、计算能力、“错位相减法”,属于难题.

 

20.(13分)已知椭圆C:f13474e191184da4b6ffb95d4e64763d.Png+4abeda44e69542698a3c1b9e5553311b.Png=1(ab0)的焦距为4,其短轴的两个端点与长轴的一个端点构成正三角形.

(1)求椭圆C的标准方程;

(2)设F为椭圆C的左焦点,T为直线x=﹣3上任意一点,过F作TF的垂线交椭圆C于点P,Q.

证明:OT平分线段PQ(其中O为坐标原点);

28432e943c164fbc8f42fff43335d6bc.Png最小时,求点T的坐标.

 

【考点】K3:椭圆的标准方程;KH:直线与圆锥曲线的综合.菁优网版权所有

【专题】5E:圆锥曲线中的最值与范围问题.

【分析】第(1)问中,由正三角形底边与高的关系,a2=b2+c2及焦距2c=4建立方程组求得a2,b2

第(2)问中,先设点的坐标及直线PQ的方程,利用两点间距离公式及弦长公式将02f042c2d7674f1f82afdb89a01cf216.Png表示出来,由28f2db793b604b5d966efdb6ffe4cb8a.Png取最小值时的条件获得等量关系,从而确定点T的坐标.

【解答】解:(1)依题意有96df5d9a1618479b880f688e47f1b309.Png解得561e3cf92a85445096778b4c04dc70ec.Png

所以椭圆C的标准方程为0abb3400b2894cca9a4d27047bdfe07d.Png+fb9e769c10b94d14845ffcb3857b6de1.Png=1.

(2)设T(﹣3,t),P(x1,y1),Q(x2,y2),PQ的中点为N(x0,y0),

证明:由F(﹣2,0),可设直线PQ的方程为x=my﹣2,则PQ的斜率1df589f47f634693b7aa337d4fbfe374.Png

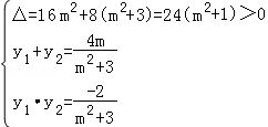
91ca7b2722f24c44b68b2fa6003a8590.Png(m2+3)y2﹣4my﹣2=0,

所以87f8249fab1d4fd3ab5754d4c64ec99d.Png

于是2e07e2ca11304daebc416dbb04840e45.Png,从而69ae80148831477cbf514138968a4de3.Png

9d3319f0947744eaac1d0b1b0fb53182.Png,则直线ON的斜率ffed3a71500e412ba1b83403789c72ef.Png

又由PQTF知,直线TF的斜率253353c6678a405b84db4dcef4cd77bc.Png,得t=m.

从而0892a3b060b74870b4c7f364249ea69a.Png,即kOT=kON

所以O,N,T三点共线,从而OT平分线段PQ,故得证.

由两点间距离公式得992b53db422549a5a6093e2af7758752.Png

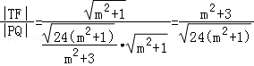
由弦长公式得4046f755cdec49ff802a94f7d3611fdd.Png=e4d8617e573f4d20a661905aa0c4e329.Png=fd6ee0aaf44e49aba19ddba268bc41aa.Png

所以dbd8b02658e84f6090d9d1b07e695105.Png

1214f3f1a99f4e9ab750d15ffb3c7d06.Png,则57e0b1e277b34221b49b29f8938a6a97.Png(当且仅当x2=2时,取“=”号),

所以当 cf023572a23f432e9bdecfe3ffd8ae07.Png最小时,由x2=2=m2+1,得m=1或m=﹣1,此时点T的坐标为(﹣3,1)或(﹣3,﹣1).

【点评】本题属相交弦问题,应注意考虑这几个方面:

1、设交点坐标,设直线方程;

2、联立直线与椭圆方程,消去y或x,得到一个关于x或y一元二次方程,利用韦达定理;

3、利用基本不等式或函数的单调性探求最值问题.

 

21.(14分)已知函数f(x)=ex﹣ax2﹣bx﹣1,其中a,bR,e=2.71828…为自然对数的底数.

(1)设g(x)是函数f(x)的导函数,求函数g(x)在区间[0,1]上的最小值;

(2)若f(1)=0,函数f(x)在区间(0,1)内有零点,求a的取值范围.

 

【考点】51:函数的零点;6E:利用导数研究函数的最值.菁优网版权所有

【专题】53:导数的综合应用.

【分析】(1)求出f(x)的导数得g(x),再求出g(x)的导数,对它进行讨论,从而判断g(x)的单调性,求出g(x)的最小值;

(2)利用等价转换,若函数f(x)在区间(0,1)内有零点,则函数f(x)在区间(0,1)内至少有三个单调区间,所以g(x)在(0,1)上应有两个不同的零点.

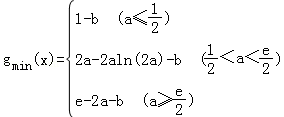
【解答】解:f(x)=ex﹣ax2﹣bx﹣1,g(x)=f′(x)=ex﹣2ax﹣b,

又g′(x)=ex﹣2a,x[0,1]1exe,

∴①f644ee6ff3194124a63ea4e825df5551.Png时,则2a1,g′(x)=ex﹣2a0,

函数g(x)在区间[0,1]上单调递增,g(x)min=g(0)=1﹣b;

d3d4f75e6de2416285659586994088ea.Png,则12ae,

当0xln(2a)时,g′(x)=ex﹣2a0,当ln(2a)x1时,g′(x)=ex﹣2a0,

函数g(x)在区间[0,ln(2a)]上单调递减,在区间[ln(2a),1]上单调递增,

g(x)min=g[ln(2a)]=2a﹣2aln(2a)﹣b;

dbd7c0c4b3074e9da27fe8d4e66d7e4a.Png时,则2ae,g′(x)=ex﹣2a0,

函数g(x)在区间[0,1]上单调递减,g(x)min=g(1)=e﹣2a﹣b,

综上:函数g(x)在区间[0,1]上的最小值为6efe0c00219a4aeb84a12596444d21a5.Png

(2)由f(1)=0,e﹣a﹣b﹣1=0b=e﹣a﹣1,又f(0)=0,

若函数f(x)在区间(0,1)内有零点,则函数f(x)在区间(0,1)内至少有三个单调区间,

由(1)知当a3eadf3285e7b4a2d9252aef22bfee756.Png或a7f887e431b4645cebaea11beffb4a7c8.Png时,函数g(x)在区间[0,1]上单调,不可能满足“函数f(x)在区间(0,1)内至少有三个单调区间”这一要求.

77f05dc14d454876b0d2cf11e6d7481d.Png,则gmin(x)=2a﹣2aln(2a)﹣b=3a﹣2aln(2a)﹣e+1

令h(x)=e55ef05ffe74401eb7b8d92d4a190f06.Png  (1xe)

fb18b08d8faf4bf5ae01b8dd0e86cc34.Png=e6b05e9317ac49069760397a4ecbce5a.Png2198d13fac904a82a2b28b6e369156f5.Png.由66381ab1c6d541ef854bd24568e3fbcf.Png0x755f2f61b8114f78927af3fe2790558d.Png

h(x)在区间(1,59d3816c4e42496d8b186c070c6fc8f5.Png)上单调递增,在区间(0041020ebd1f469fbe102487648f9844.Png,e)上单调递减,

9421a5e717c1495eb65d895d8338c3e8.Png=3587771c946846fb91f79694c236e63d.Png=19027f1219a048d8922ea6b58acaa9f4.Png0,即gmin(x)0 恒成立,

函数f(x)在区间(0,1)内至少有三个单调区间fad56d07428d43ac9838bf25400ae85d.Pngb134c00199494318b65a5eb2cf0dcb4b.Png

83e45f0218bf468ea4352f81549b00f7.Png,所以e﹣2a1,

综上得:e﹣2a1.

另解:由g(0)0,g(1)0 解出e﹣2a1,

再证明此时f(x)min0 由于f(x)最小时,f'(x)=g(x)=ex﹣2ax﹣b=0,

故有ex=2ax+b且f(1)=0知e﹣1=a+b,

则f(x)min=2ax+b﹣ax2﹣(e﹣1﹣a)x﹣1=﹣ax2+(3a+1﹣e)x+e﹣a﹣2,

开口向下,最大值58dcb42c3f6c401580ab52b50750acf5.Png(5a2﹣(2e+2)a+e2﹣2e),分母为正,

只需看分子正负,分子5﹣(2e+2)+e2﹣2e(a=1时取最大)=e2﹣4e+30,

故f(x)min0,

故 e﹣2a1.

【点评】本题考查了,利用导数求函数的单调区间,分类讨论思想,等价转换思想,函数的零点等知识点.是一道导数的综合题,难度较大.

 

来源: 四川省地方志工作办公室
终审:何晓波
分享到:
【打印正文】
x

微信扫一扫:分享

Scan me!

微信里点“发现”,扫一下

二维码便可将本文分享至朋友圈。